ここではチェシャアイピースで光軸を調整する手順について考察します。

チェシャアイピースとは?

チェシャアイピース (Cheshire eyepiece)は 1921 年にブリティッシュ大学の F. J. Cheshire 教授によって考案されたもので、レンズが無く、その代わり中央にピンホールが開けられた、光軸調整用アイピースのことです。(出典:Philip S. Harrington, Star Ware Fourth Edition, John Wiley & Sons, Inc. 2007, p227) チェシャアイピースの内側はドーナツ形の反射板となっており、この反射板を照明で照らして見る事で主鏡センターマークとの相対的な位置関係を調べることができます。

Catseye Blackcat XL
チェシャアイピースの例:Catseye Blackcat XL

何を、どこに合わせるのか?

チェシャアイピースで光軸を調整する場合、チェシャアイピースを望遠鏡の接眼部に取り付け、中央のピンホールを覗き込み、そこから見える「主鏡上に投影されて見えるチェシャアイピース内側のドーナツ形の反射板」と「主鏡センターマーク」が同心円状になるよう、光軸を調整します。 以下の写真のように、主鏡上に投影されて見えるチェシャアイピース内側のドーナツ形の反射板(写真では白い丸印)を主鏡センターマーク(写真では赤色に反射した放射能マーク)と一致するよう光軸を調整することになります。

チェシャアイピースで覗いた場合の写真

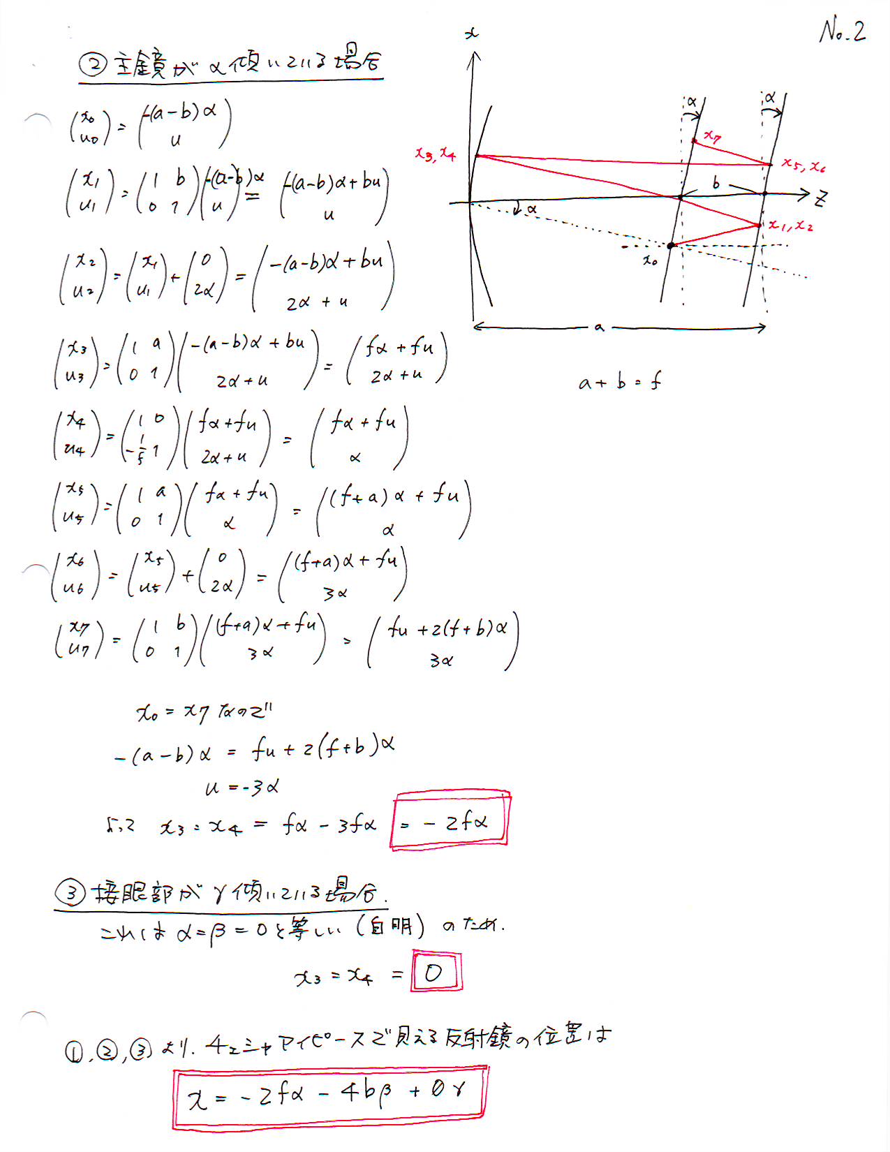
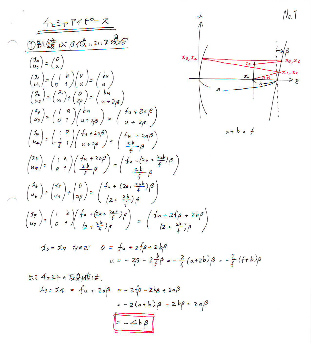
計算結果

以下に計算結果を示します。

計算結果 計算結果

よって主鏡の傾き誤差 α、副鏡の傾き誤差 β、接眼部の傾き誤差 γ がある場合、チェシャアイピースを覗くと「主鏡上に投影されて見えるチェシャアイピース内側のドーナツ形の反射板」は

x = - 2f α - 4b β + 0 γ

の位置に見えることがわかりました。 これを「主鏡センターマーク

x = 0

と一致する(同心円状になる)よう、主鏡の傾きを調整することになります。