ここではオートコリメーターの中央穴から見える4つの主鏡センターマークの位置について考察します。

オートコリメーターの中央穴とは?

オートコリメーターとはアイピース状の形をした、レンズが無く、その代わり中央にピンホールが開けられ、裏面が平面鏡となっている光軸調整用のアイピースのことです。 裏面の平面鏡は筒の中心軸と正確に直交するように調整されて取り付けられています。 (ちなみにオートコリメーターのオート(auto-)とは「自己」の意味の接頭辞です。 自動で光軸調整を行ってくれる装置ではありません。)

ここで「中央穴」とは文字通りアイピースの中央に開けられたピンホールのことです。 オートコリメーターでは「主鏡上に投影されて見える主鏡センターマーク」が合計4つ見えることになりますが、光軸が合っているときのみ、これら4つのセンターマークの位置がすべて一致します。

Catseye Infinity XLKP
オートコリメーターの例:Catseye Infinity XLKP

何を、どこに合わせるのか?

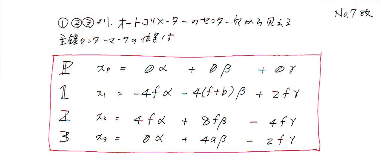
オートコリメーターの中央穴の場合、オートコリメーターを望遠鏡の接眼部に取り付け、中央のピンホールをのぞき込み、そこから見える「主鏡上に投影されて見える4つの主鏡センターマーク」がすべて一致するように調整する事で、光軸を調整することになります。 4つの主鏡センターマークを以降、(P)、(1)、(2)、(3)と呼ぶことにします。これらは以下のような反射を経て、主鏡上に投影されて見えていることになります。

以下は主鏡に貼り付けた主鏡センターマークの写真です。

主鏡センターマークの写真

オートコリメーターの中央穴から覗いて見ると、次の写真のように主鏡センターマークがいくつか見える事になります。 この写真では赤色ライトで照らされているため、赤く光って見えています。 わかりにくいのですが 4 つ像が重なって見えています。 オートコリメーターの中央穴ではこれら 4 つの主鏡センターマークがすべてが一致するよう、主鏡と副鏡の傾きを調整することになります。

オートコリメーターで覗いた場合の写真

計算結果

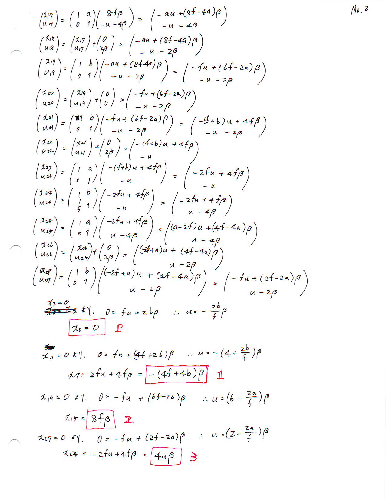
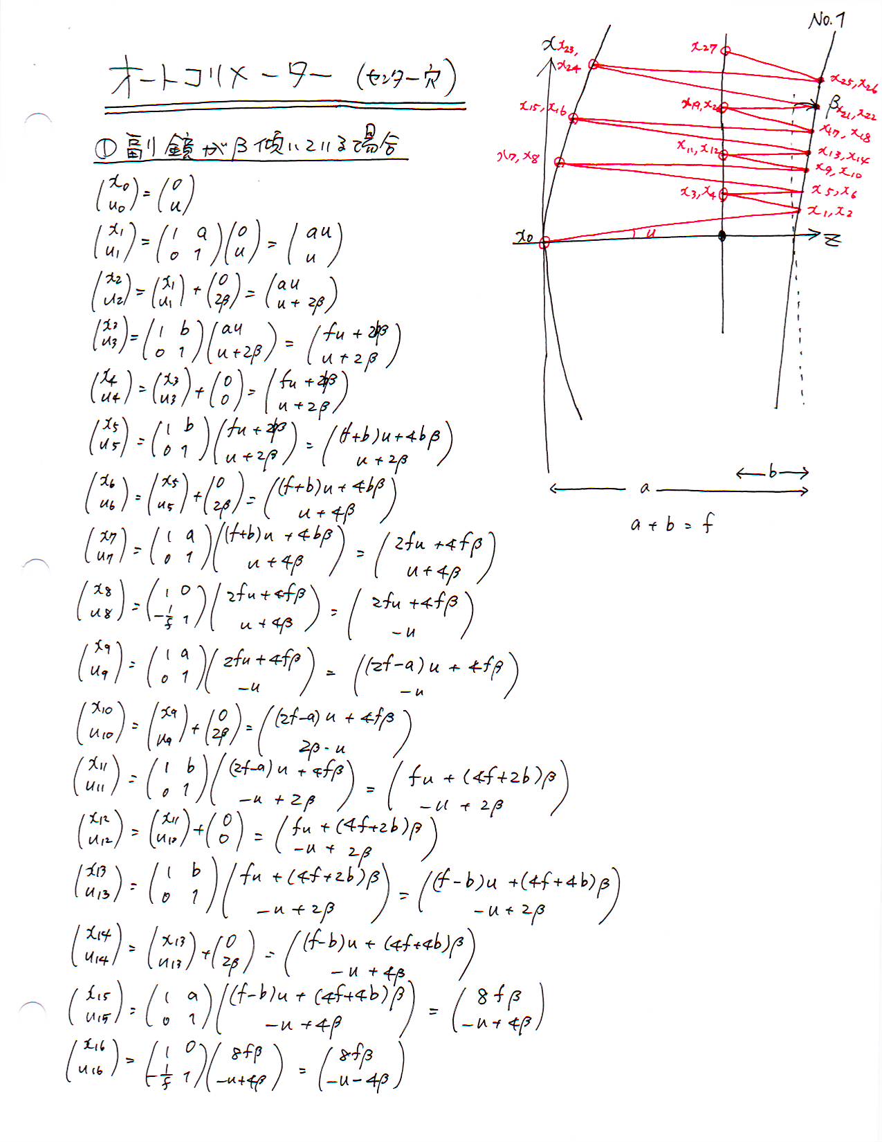
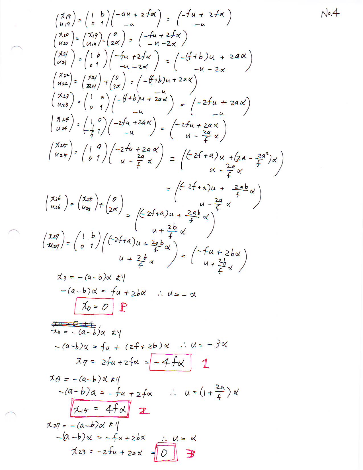
以下に計算結果を示します。 反射回数が多いので計算量が多いですが、これまでの計算と同じです。

計算結果 計算結果 計算結果 計算結果 計算結果 計算結果 計算結果

よって主鏡の傾き誤差 α、副鏡の傾き誤差 β、接眼部の傾き誤差 γ がある場合、オートコリメーターの中央穴から見える「4つの主鏡センターマーク」の位置はそれぞれ xP、x1、x2、x3 と書くと

xP = 0 α + 0 β + 0 γ
x1 = - 4f α - 4(f+b) β + 2f γ
x2 = 4f α + 8f β - 4f γ
x3 = 0 α + 4a β - 2f γ

に見えることになることがわかりました。 これらがすべて一致する、つまり

xP = x1 = x2 = x3 = 0

となれば、光軸は合っていることになります。