レーザーコリメーターなどを使って光軸を合わせたつもりでも、オートコリメーターを覗くと 4 つの主鏡センターマークがわずかにズレていて光軸はちゃんと合っていない、ということがよくあります。 オートコリメーター単独でも光軸は合わせられますが、判りづらく、やりにくいです。 そこでここでは複数の光軸調整アイピースを組み合わせて光軸を追い込む方法について考えました。 どうすれば簡単に光軸を追い込むことが出来るかを考えてみました。

オートコリメーターとチェシャアイピース

結論から言うと、副鏡の傾き調整に「オートコリメーターのオフセット穴」、主鏡の傾き調整に「チェシャアイピース」を使用すると、簡単に光軸を追い込む事が出来ることがわかりました。

Catseye Infinity XLKP
オートコリメーターの例:Catseye Infinity XLKP
Catseye Blackcat XL
チェシャアイピースの例:Catseye Blackcat XL

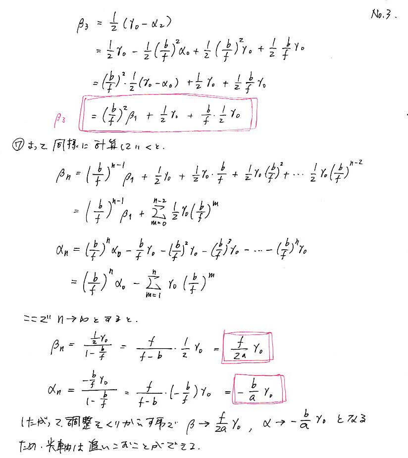
計算結果

以下に計算結果を示します。

計算結果 計算結果 計算結果

よって「オートコリメーターのオフセット穴で副鏡の傾き調整」を、「チェシャアイピースで主鏡の傾き調整」を行い、これらの作業を繰り返すことで主鏡の傾き α、副鏡の傾き β は

α → (-b/a) γ0

β → (f/(2a)) γ0

にだんだん近づいていくことがわかりました。 ここで α = (-b/a) γ、β = (f/(2a)) γ というのはどの光軸調整アイピースを使っても x = 0、すなわち「光軸が合っているように見える状態」で、幾何学的にも「主鏡の光軸」と「接眼部の光軸」が一致していて光軸が合っている状態を意味します。

よって今回の計算から「オートコリメーター」と「チェシャアイピース」を使って光軸を追い込むことが可能であることが解析的に示されました。

なおオートコリメーターの中央穴から覗いて副鏡の傾きを調整しようとしても、光軸が合っていないと 4 つの主鏡センターマークはけっして 1 つに重なって見えないため、この調整方法は行えません。

主鏡の傾き調整については、チェシャアイピースだけでなくサイトチューブやバロードレーザーでも同じ結果が得られます。が、私はチェシャアイピースが最も判りやすく、使いやすいと思います。

訂正

以前に私は α = β = γ = 0 という状態を光軸が合った状態と定義していました。 しかしよくよく考え直してみたところ、ニュートン反射の光学系で「光軸が合った状態」とは「主鏡の光軸と接眼部の光軸が一致すること」と定義するのが正しいと考え直しました。

私はこれまで何度か「オートコリメーターとチェシャアイピースを使った光軸の追い込みは γ = 0 の時しか成り立たない」とウェブ上で発信してきましたが、これは正しくありませんでした。 γ ≠ 0 の場合でも、上記の計算で示したとおり、オートコリメーターとチェシャアイピースを使って主鏡の傾き α = (-b/a) γ、副鏡の傾き β = (f/(2a)) γ とすることが出来ます。 よって γ ≠ 0 の場合でも光軸を追い込む、すなわち光軸を正確に合わせることは可能です。

以上、訂正します。(沖田博文 2019年5月27日)